第110回薬剤師国家試験 必須衛生 問16-25

絶賛育休中薬剤師が第110回薬剤師国家試験を解いてみて、
自分なりの周辺知識をまとめた記事です(๑•̀ㅁ•́ฅ✨
一問一答形式で解いてみてください🍊
答えはタップで開きます☑️
※問題文は厚生労働省より引用しています.
問16
下図の年次推移を示す我が国の人口統計指標はどれか。1つ選べ。

1 出生率
2 合計特殊出生率
3 総再生産率
4 粗死亡率
5 年齢調整死亡率
4 粗死亡率

問17
再興感染症はどれか。1つ選べ。
1 結核
2 クリプトスポリジウム症
3 重症急性呼吸器症候群(SARS)
4 レジオネラ症
5 ロタウイルス感染症
1 結核

問18
有害物質の経皮曝露を防ぐために化学防護手袋を使用することは、労働衛生の5管理のうち、どれに該当するか。1つ選べ。
1 総括管理
2 健康管理
3 作業管理
4 労働衛生教育
5 作業環境管理
3 作業管理

問19
以下の構造式で示す腐敗アミンの前駆体となるアミノ酸はどれか。1つ選べ。

1 リシン
2 チロシン
3 ヒスチジン
4 アルギニン
5 トリプトファン
3 ヒスチジン

問20
コウジカビAspergillus flavusが産生する主要な肝発がん物質はどれか。1つ選べ。
1 シトリニン
2 パツリン
3 アフラトキシンB1
4 フモニシンB1
5 デオキシニバレノール
3 アフラトキシンB1

問21
主に非意図的に生成することから化審法(注)で規制されていないのはどれか。1つ選べ。
(注)化審法:化学物質の審査及び製造等の規制に関する法律
1 ポリ塩化ジベンゾーpージオキシン
2 ポリ塩化ビフェニル
3 ペルフルオロ(オクタンー1ースルホン酸)
4 ヘキサブロモビフェニル
5 ビス(トリブチルスズ)=オキシド
1 ポリ塩化ジベンゾーpージオキシン

🍈108-135 🍈105-140

⬆︎このよくわからないPCBくんはLINEスタンプ(ベンゼン環って可愛いよね)で買えます
購入はこちらから(国試勉強中に書いたので衛生寄りです。でも使いやすい子もたくさんいます)
問22
非電離放射線のうち、眼の水晶体タンパク質の変性によってガラス工白内障を引き起こすのはどれか。1つ選べ。
1 UVA
2 UVB
3 UVC
4 赤外線
5 可視光線
4 赤外線

問23
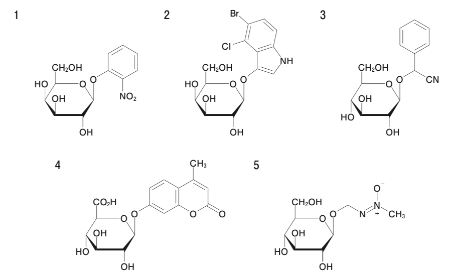
水道水質基準の基準項目に定められている大腸菌を特異的に検出するための基質はどれか。1つ選べ。

4

問24
湖沼で藍藻類や放線菌が産生するカビ臭の原因物質はどれか。1つ選べ。
1 クロラミン
2 ジェオスミン
3 トリハロメタン
4 クロロフェノール
5 ミクロシスチン
2 ジェオスミン

🍊104-23 🍊103-23 🍊103-138
問25
逆転層は大気汚染物質の滞留を引き起こす。盆地や谷間などの低地に冷たい空気が流入して発生するのはどれか。1つ選べ。
1 沈降性逆転層
2 地形性逆転層
3 放射性逆転層
4 移流性逆転層
5 前線性逆転層
2 地形性逆転層

🍈99-138
まとめ
第110回薬剤師国家試験 必須衛生 問16-25を解いてみました。
衛生は少しニッチな問題が多かったように思います。

以上〜
何かありましたら、InstagramのDMかお問い合わせフォームまで!







