第110回薬剤師国家試験 必須生物 問11-15

絶賛育休中薬剤師が第110回薬剤師国家試験を解いてみて、
自分なりの周辺知識をまとめた記事です(๑•̀ㅁ•́ฅ✨
一問一答形式で解いてみてください🍊
答えはタップで開きます☑️
※問題文は厚生労働省より引用しています.
あわせて読みたい
問11
血管平滑筋細胞を持たず血管内皮細胞と基底膜から構成され、栄養成分や老廃物の物質交換が行われるのはどれか。1つ選べ。
1 大動脈
2 細動脈
3 毛細血管
4 大静脈
5 胸管
3 毛細血管

問12
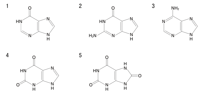
核酸に含まれるプリン塩基のヒトにおける最終代謝産物はどれか。1つ選べ。

5

問13
真核生物において、転写開始の際にRNAポリメラーゼⅡの結合に必要なDNA上の領域はどれか。1つ選べ。
1 イントロン
2 エクソン
3 プロモーター
4 テロメア
5 ターミネーター
3 プロモーター

問14
オステオカルシンとカルシウムイオンが結合できるようにする、グルタミン酸残基に対する翻訳後修飾はどれか。1つ選べ。
1 アセチル化
2 メチル化
3 ミリストイル化
4 リン酸化
5 カルボキシ化
5 カルボキシ化

問15
ウイルスゲノムを中心としてその周囲を取り囲むタンパク質の壳はどれか。1つ選べ。
1 エンベロープ
2 カプシド
3 コア
4 スパイク
5 ビリオン
2 カプシド

まとめ
第110回薬剤師国家試験 必須生物 問11-15を解いてみました。
生物は、基本のキだけど抜けがちな知識でした。

以上〜
何かありましたら、InstagramのDMかお問い合わせフォームまで!
あわせて読みたい







