第110回薬剤師国家試験 必須化学 問6-10

絶賛育休中薬剤師が第110回薬剤師国家試験を解いてみて、
自分なりの周辺知識をまとめた記事です(๑•̀ㅁ•́ฅ✨
一問一答形式で解いてみてください🍊
答えはタップで開きます☑️
※問題文は厚生労働省より引用しています.
あわせて読みたい
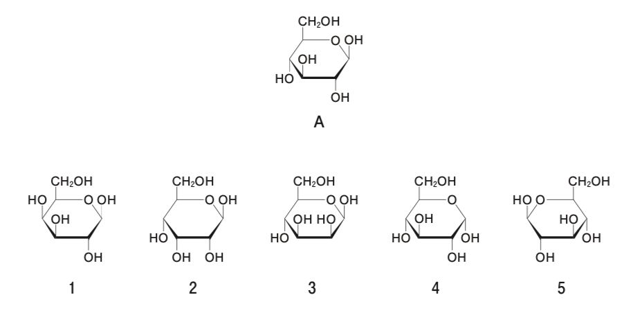
問6
以下のアルドヘキソースAのアノマーはどれか。1つ選べ。

4

問7
以下の薬物に含まれる金属元素Mとして適切なのはどれか。1つ選べ。

1 Li
2 Mg
3 Al
4 Ca
5 Zn
3 Al

問8
以下の化合物のうち、最も酸性度が高いのはどれか。1つ選べ。

5

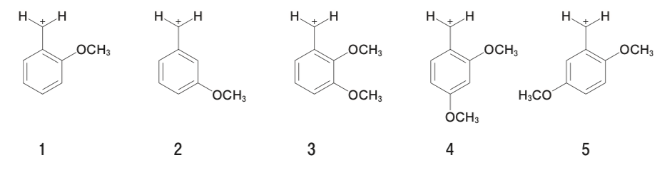
問9
以下の化学種のうち、ベンジルカチオンが最も安定化されているのはどれか。1つ選べ。

4

問10
ビンクリスチンの生合成前駆体となるアミノ酸はどれか。1つ選べ。

1 オルニチン
2 チロシン
3 トリプトファン
4 フェニルアラニン
5 リシン
3 トリプトファン

まとめ
第110回薬剤師国家試験 必須化学 問6-10を解いてみました。
化学って、難しいです。

以上〜
何かありましたら、InstagramのDMかお問い合わせフォームまで!
あわせて読みたい







